Administracija predsjednika Donalda Trumpa izračunala je svoj niz novih carina prvenstveno na temelju postojećih trgovinskih bilanci, što je odstupanje od ranijih obećanja da će carinske stope i druge trgovinske barijere uskladiti s onima iz drugih zemalja.
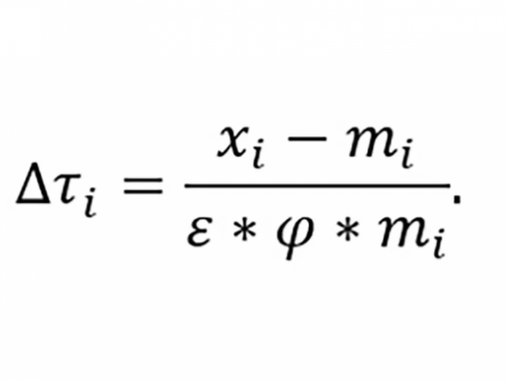
U izjavi objavljenoj u srijedu navečer, kojom je pojasnila metodologiju za carine koje su potresle globalno tržište, Ured trgovinskog predstavnika SAD-a (USTR) detaljno je opisao formulu koja dijeli trgovinski suficit neke zemlje s SAD-om s njezinim ukupnim izvozom, koristeći podatke Američkog zavoda za statistiku iz 2024. godine. Dobiveni broj zatim je podijeljen s dva, čime se dobila "diskontirana" stopa.
Primjerice, Kina je prošle godine imala trgovinski suficit s SAD-om od 295 milijardi dolara na ukupan izvoz od 438 milijardi dolara, što je omjer od 68 posto. Prema Trumpovoj formuli, kada se taj broj podijeli s dva, dobiva se carinska stopa od 34 posto. Ista metoda korištena je za određivanje carinskih stopa za druge ekonomije poput Japana, Južne Koreje i Europske unije.
Čitaj više

Trumpove carine uzdrmale burze, cijena zlata raste
Najava minimalne carine od 10 posto na sve izvoznike u SAD, uz dodatne carine za njegove najveće trgovinske partnere, uključujući Kinu, Japan i Europsku uniju, uzdrmala je investitore koji su zabrinuti kako će te mjere utjecati na globalni rast.
03.04.2025

EU će uzvratiti udarac na Trumpove carine
Trump je najavio carinu od 20% na uvoz iz EU, koja stupa na snagu 9. travnja. Ponovio je svoju tvrdnju da mu 27 država članica "otima novac" i nazvao to "patetičnim".
03.04.2025

Tržišta potonula nakon objave Trumpovih carina, zlato raste
Nakon što je američki predsjednik u srijedu navečer predstavio svoje recipročne carine referentni dionički indeksi odmah su pali za oko dva posto.
02.04.2025
Trump uveo recipročne carine - EU 20 posto, svima minimalno 10 posto, rekorder Kambodža
"Danas imamo vrlo, vrlo dobre vijesti", započinje Trump.
02.04.2025
Zemlje u kojima SAD ostvaruje trgovinski suficit također su bile pogođene carinom od fiksnih 10 posto, bez obzira na razmjere trgovine, kao i one gdje je trgovinska bilanca bila približno izjednačena.
U izjavi USTR-a navedeno je da bi, iako je tehnički moguće izračunati stope na temelju stvarnih trgovinskih prepreka, ova metodologija bolje postigla Trumpov cilj smanjenja trgovinskih deficita.
"Dok je pojedinačno izračunavanje učinaka trgovinskog deficita za desetke tisuća carinskih, regulatornih, poreznih i drugih politika u svakoj zemlji složen, ako ne i nemoguć zadatak, njihov se kombinirani učinak može procijeniti određivanjem carinske razine koja je dosljedna smanjenju bilateralnih trgovinskih deficita na nulu", stoji u izjavi, koja nije bila potpisana.
Trump je u srijedu u Rose Gardenu predstavio niz novih carina, okrećući ploču s nizom stopa temeljenih na "carinama naplaćenima SAD-u" i, u pola iznosa, "diskontiranoj recipročnoj carini".
Kako se došlo do formule?
Način izračuna carina uglavnom je bio nepoznat uoči Trumpove objave. Dodatno je zbunilo to što su se stope koje je Trump objavio neznatno razlikovale od onih u prilogu uz njegovu izvršnu naredbu. Tako je, primjerice, Južna Koreja na Trumpovoj ploči bila navedena sa stopom od 25 posto, dok je u prilogu stajala stopa od 26 posto.
Trumpova administracija prethodno je navela da će se stope izračunavati uzimajući u obzir i carine i necarinske prepreke, uključujući poreze. Trumpova ploča prikazivala je stope pod kategorijom "Carine naplaćene SAD-u, uključujući manipulaciju valutom i trgovinske barijere."
Međutim, stvarna formula korištena za izračun carina nije bila ona koju je Bijela kuća u početku signalizirala.
U memorandumu od 13. veljače, kojim je najavio recipročne carine, Trump je naložio analizu "sveobuhvatnog opsega, koja ispituje nerecipročne trgovinske odnose sa svim trgovinskim partnerima SAD-a", uključujući njihove carine, poreze, necarinske prepreke, manipulaciju valutom i "bilo koju drugu praksu" koja "nameće bilo kakvo nepravedno ograničenje pristupa tržištu ili strukturnu prepreku poštenoj konkurenciji".
Iako trgovinske bilance nisu bile izričito navedene, memorandum je zasebno naglasio da je nerecipročna trgovina "jedan od izvora velikog i dugotrajnog godišnjeg trgovinskog deficita SAD-a u robi".
Trumpova formula uključivala je i dva dodatna parametra – cjenovnu elastičnost potražnje za uvozom i elastičnost uvoznih cijena u odnosu na carine. Ove su vrijednosti bile postavljene tako da su se međusobno poništavale, što je u konačnici značilo množenje s jedan.
Trenutno nema komentara za vijest. Ostavite prvi komentar...